AP TET Result 2025 has been officially declared on 9 January 2026 at aptet.apcfss.in and cse.ap.gov.in by the Department of School Education, Government of Andhra Pradesh. Candidates can now check their qualifying status and download the AP TET Score Card 2025 from the official website.
Table of Contents
AP TET Results 2025 Out
Candidates who appeared for the AP TET October 2025 session can now check their qualifying status, download the AP TET Score Card 2025, and view their marks through the official websites aptet.apcfss.in and cse.ap.gov.in. The result has been released in scorecard format, and login credentials are required to access it.
This article provides complete information about AP TET Results 2025, including the result overview, scorecard details, steps to check results, normalization formula, minimum qualifying marks, certificate validity, and what to do after qualifying.
What is AP TET?
The Andhra Pradesh Teacher Eligibility Test (AP TET) is a state-level eligibility examination conducted twice a year to assess candidates’ eligibility for teaching positions in government and private schools of Andhra Pradesh. The exam is mandatory for candidates who wish to apply for teaching posts in:
- Government Schools
- Zilla Parishad (ZP) Schools
- Mandal Parishad (MP) Schools
- Municipal Schools
- Recognised Private Schools
AP TET is conducted for two papers:
- Paper 1 – For Classes 1 to 5
- Paper 2 – For Classes 6 to 8
Also Read – KARTET Result 2025 OUT – Download Karnataka TET Result PDF from Official Website
AP TET Results & Score Card 2025
After evaluating the answer sheets, the Department of School Education has released the AP TET Result 2025 for both Paper 1 and Paper 2. The result allows candidates to check whether they have qualified or not, along with their marks.
The AP TET Score Card 2025 includes the following details:
- Candidate’s Name
- Hall Ticket Number
- Date of Birth
- Category
- Paper Appeared (Paper 1 / Paper 2)
- Total Marks Obtained
- Qualifying Status
Candidates who qualify in the AP TET exam will be issued an AP TET Eligibility Certificate, which is now valid for a lifetime, making it a crucial document for future teaching recruitments.
AP TET Results 2025
| Particulars | Details |
|---|---|
| Conducting Authority | Department of School Education, Andhra Pradesh |
| Exam Name | Andhra Pradesh Teacher Eligibility Test (AP TET) |
| Session | October 2025 |
| Exam Level | State Level |
| Exam Mode | Online (CBT) |
| AP TET Exam Date 2025 | From 10 December 2025 onwards |
| Result Release Date | 9 January 2026 |
| Score Card Format | Online |
| Certificate Validity | Lifetime |
| Official Websites | aptet.apcfss.in, cse.ap.gov.in |
AP TET Score Card & Result 2025 Download Link
The AP TET Scorecard and Result 2025 were released on 9 January 2026 along with the final qualifying status. Candidates can download their scorecard only through the Candidate Login page available on the official website.
AP TET Results 2025 Score Card Link
(Candidates are advised to download and save the scorecard for future reference.)
Steps to Check AP TET Results 2025
Candidates must keep their login details ready to access the result. Follow the step-by-step process given below:
- Visit the official website – aptet.apcfss.in
- Click on the Candidate Login option on the homepage
- Select the AP TET Result 2025 link
- Enter your Candidate ID / Hall Ticket Number
- Enter Date of Birth (DD/MM/YYYY)
- Fill in the verification code displayed on the screen
- Click on Submit / Download Result
- The AP TET Result 2025 scorecard will appear on the screen
- Download and save the result PDF for future use
AP TET Score Normalisation Process
Since AP TET is conducted in multiple shifts, the difficulty level of question papers may vary. To ensure fairness, the normalisation method is applied.
What is Normalisation?
Normalisation is a statistical process used to equalise marks of candidates across different shifts, considering variations in difficulty levels.
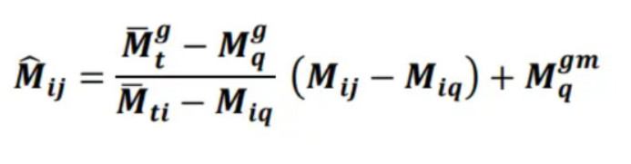
AP TET Normalisation Formula
The normalised marks of the jth candidate in the ith shift (Mij) is calculated using the official formula provided by the exam authority.
Key Terms Explained:

- Mtg – Average marks of the top 0.1% candidates across all shifts
- Mqg – Sum of mean and standard deviation of marks across all shifts
- Mti – Average marks of top 0.1% candidates in the ith shift
- Miq – Sum of mean and standard deviation of the ith shift
- Mij – Actual marks obtained by the candidate
Note:
- Marks are calculated up to 5 decimal places
- Final result is prepared after applying the normalisation formula
AP TET Minimum Qualifying Marks 2025
To qualify for AP TET, candidates must score the minimum cut-off marks as per their category.
| Category | Minimum Percentage | Minimum Marks (Out of 150) |
|---|---|---|
| General | 60% and above | 90 |
| BC | 50% and above | 75 |
| SC / ST / PH / Ex-Servicemen | 40% and above | 60 |
Only candidates scoring equal to or above the qualifying marks are declared AP TET Qualified.
AP TET Certificate Validity
One of the biggest advantages of qualifying AP TET is that the AP TET Eligibility Certificate is valid for a lifetime. Candidates do not need to reappear for the exam once they qualify, unless they want to improve their score.
The certificate is mandatory while applying for:
- Government Teacher Recruitment
- DSC Notifications
- Other State Teaching Vacancies
What’s Next After AP TET Results 2025?
For Qualified Candidates
Candidates who qualify in Paper 1 or Paper 2 become eligible to apply for:
- Teacher recruitment notifications in Andhra Pradesh
- DSC (District Selection Committee) vacancies
- Government and aided school teaching posts
The AP TET Certificate 2025 must be produced during document verification.
For Non-Qualified Candidates
Candidates who do not qualify:
- Cannot apply for teaching posts
- Can reappear in the next AP TET cycle
- Should analyse weak areas and prepare again
Important Points to Remember
- AP TET qualification does not guarantee a job, it only makes candidates eligible
- Recruitment depends on vacancy notifications and merit lists
- Scorecard should be preserved until appointment
Final Note
Candidates are advised to rely only on the official website for authentic updates and keep their scorecard safe for future recruitment processes.
AP TET Results 2025 – FAQs
Q1. Is AP TET Result 2025 released?
Yes, AP TET Result 2025 was released on 9 January 2026.
Q2. Where can I check AP TET Results 2025?
Candidates can check results at aptet.apcfss.in or cse.ap.gov.in.
Q3. What details are required to check AP TET Result?
Candidate ID / Hall Ticket Number and Date of Birth are required.
Q4. What is the validity of AP TET Certificate?
The AP TET certificate is valid for lifetime.
Related Results :
- UPSC CMS Final Result 2025
- SSC GD Constable Final Result 2026
- BSEB Bihar DElEd 1st Selection List 2025
- NICL AO Final Result 2026 PDF Download
- Official KARTET Result 2025 PDF Download
